
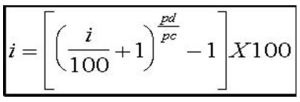
| Ie = Taxa Equivalente i = Taxa Conhecida Pd = Período Desconhecido Pc = Período ConhecidoDetalhe Importante O “Motor” desta fórmula é o expoente “Pd/Pc” ([Período Desconhecido] dividido por [Período Conhecido]) O procedimento anterior ao expoente é a transformação da [Taxa Percentual] em taxa unitária + 1. O procedimento posterior ao expoente é a subtração do 1 e transformação da [Taxa Unitária] em [Taxa Percentual]. O entendimento dessa fórmula é essencial para a solução de inúmeros problemas de Matemática Financeira, com juros compostos. Exemplo: |